产品优势
产品参数
| 产品型号/技术配置 | SPOT-C2(竖版) | SPOT-C2(横版) |
|---|---|---|
| 产品图示 | |
|
| 灯头尺寸 | L88 x Φ12 mm | |
| 波谱 | 365-405nm (可选) | |
| 透镜 | Φ3/6/8/10/15 mm (可选) | |
| 透镜形式 | 正出光和侧出光可选 | |
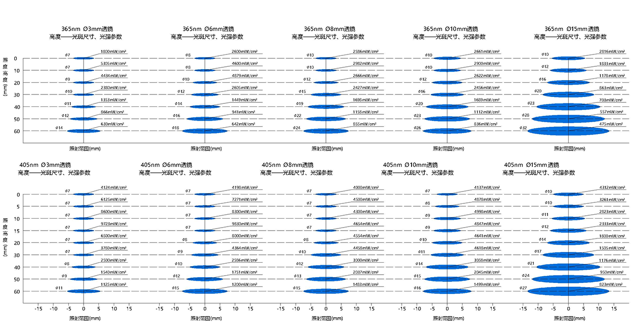
| 光强 | 见下图1 | |
| 冷却方式 | 标准自然冷却,可定制风冷 | |
| 控制器尺寸 | 89x138x139 mm | 114x116x188 mm |
| 输入电压 | 220VAC 50Hz | |
| 功率 | 40W | 60W |
| 功率调节 | 10%-100%可调,调节精度0.1% | |
| 主要功能 | 人机界面,光强校准,温度监控,灯头独立计时,触发定时等 | |
| I/O端口 | 支持外部触发,状态及报警输出 | |
| RS485通讯 | 支持 | |

图1 不同波段光强及光斑尺寸
行业应用